Subscribe to our ▶️ YouTube channel 🔴 for the latest videos, updates, and tips.
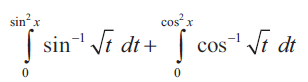
Evaluate the following :
![]() |
![]() |
![]() |
![]() |
![]() |
![]() |
Evaluate the following integrals using properties of integration :
Problem 1 :

Problem 2 :

Problem 3 :

Problem 4 :

Problem 5 :

Problem 6 :

Problem 7 :

Problem 8 :

Problem 9 :

Problem 10 :

Problem 11 :

Subscribe to our ▶️ YouTube channel 🔴 for the latest videos, updates, and tips.
Kindly mail your feedback to v4formath@gmail.com
We always appreciate your feedback.
About Us | Contact Us | Privacy Policy
©All rights reserved. onlinemath4all.com

May 21, 26 01:17 AM
May 17, 26 09:03 AM
Apr 24, 26 09:30 PM