Subscribe to our ▶️ YouTube channel 🔴 for the latest videos, updates, and tips.
(1) Construct an m × n matrix A = [aij], where aij is given by
(i) aij = (i - 2j)2/2 with m = 2 and n = 3 Solution
(ii) aij = |3i - 4j|/4 with m = 3 and n = 4 Solution
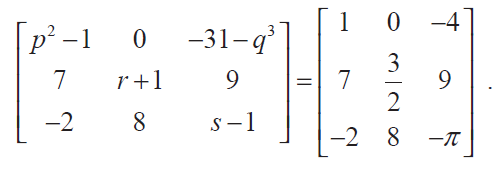
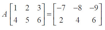
(2) Find the values of p, q, r, and s if

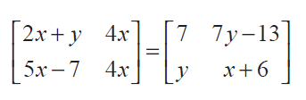
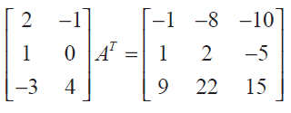
(3) Determine the value of x + y if

(4) Determine the matrices A and B if they satisfy

(5) If A =

then compute A4 Solution
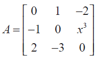
(6) Consider the matrix

(i) Show that Aα Aβ = A(α+β)
(ii) Find all possible real values of α satisfying the condition Aα + AαT = I Solution
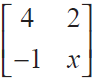
(7) If A =

and such that (A− 2I)(A− 3I) = O, find the value of x.
(8) If A =

(9) If A =

and A3 - 6A2 + 7A + KI = 0, then find the value of k.
(10) Give your own examples of matrices satisfying the following conditions in each case:
(i) A and B such that AB ≠ BA .
(ii) A and B such that AB = O = BA, A ≠ O and B ≠ O.
(iii) A and B such that AB = O and BA ≠ O.
(11) Show that f (x) f ( y) = f (x + y), where f(x) =

(12) If A is a square matrix such that A2 = A, find the value of 7A - (I + A)3. Solution
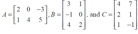
(13) Verify the property A(B + C) = AB + AC, when the matrices A, B, and C are given by

(14) Find the matrix A which satisfies the matrix relation

(15)

verify the following (i) (A+ B)T = AT + BT = BT + AT
(ii) (A− B)T = AT − BT
(iii) (BT )T = B .
(16) If A is a 3 × 4 matrix and B is a matrix such that both AT B and BAT are defined, what is the order of the matrix B? Solution
(17) Express the following matrices as the sum of a symmetric matrix and a skew-symmetric matrix:

(18) Find the matrix A such that

(19) If A

is a matrix such that AAT = 9I , find the values of x and y. Solution
(20) (i) For what value of x, the matrix

is skew-symmetric Solution
(ii) If A =

is skew-symmetric, find the values of p, q, and r.
(21) Construct the matrix A = [aij]3x3, where aij = i - j. State whether A is symmetric or skew-symmetric
(22) Let A and B be two symmetric matrices. Prove that AB = BA if and only if AB is a symmetric matrix.
(23) If A and B are symmetric matrices of same order, prove that
(i) AB + BA is a symmetric matrix.
(ii) AB - BA is a skew-symmetric matrix Solution
(24) A shopkeeper in a Nuts and Spices shop makes gift packs of cashew nuts, raisins and almonds.
Pack I contains 100 gm of cashew nuts, 100 gm of raisins and 50 gm of almonds.
Pack-II contains 200 gm of cashew nuts, 100 gm of raisins and 100 gm of almonds.
Pack-III contains 250 gm of cashew nuts, 250 gm of raisins and 150 gm of almonds.
The cost of 50 gm of cashew nuts is $50, 50 gm of raisins is $10, and 50 gm of almonds is $60. What is the cost of each gift pack? Solution
Subscribe to our ▶️ YouTube channel 🔴 for the latest videos, updates, and tips.
Kindly mail your feedback to v4formath@gmail.com
We always appreciate your feedback.
About Us | Contact Us | Privacy Policy
©All rights reserved. onlinemath4all.com

May 21, 26 01:17 AM
May 17, 26 09:03 AM
Apr 24, 26 09:30 PM