Subscribe to our ▶️ YouTube channel 🔴 for the latest videos, updates, and tips.
Question 1 :

then, verify that A + (B + C) = (A + B) + C.
Question 2 :

then verify:
(i) A + B = B + A
(ii) A + (- A) = O = (- A) + A
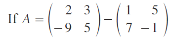
Question 3 :

then find the additive inverse of A.

Question 1 :

then, verify that A + (B + C) = (A + B) + C.
Solution :




Question 2 :

then verify:
(i) A + B = B + A
(ii) A + (- A) = O = (- A) + A
Solution :
(i)
By finding the sum of matrices A and B, we get the value of A + B.
By finding the sum of matrices B and A, we get the value of B + A.

From the above steps, it is clear that
A + B = B + A.
Matrix addition is commutative.
(ii) By adding A and -A, we get the value of A + (-A).

By adding -A and A, we get the value of -A + A.

From the above steps, it is clear that
-A + A = 0 and A + (-A) = 0
Question 3 :

then find the additive inverse of A.
Solution :

Subscribe to our ▶️ YouTube channel 🔴 for the latest videos, updates, and tips.
Kindly mail your feedback to v4formath@gmail.com
We always appreciate your feedback.
About Us | Contact Us | Privacy Policy
©All rights reserved. onlinemath4all.com

Mar 06, 26 07:48 PM
Mar 06, 26 06:47 PM
Mar 06, 26 05:24 PM