Subscribe to our ▶️ YouTube channel 🔴 for the latest videos, updates, and tips.
Property 1 :
Integration is independent of change of variables provided the limits of integration remain the same.

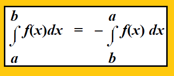
Property 2 :
If the limits of definite integral are interchanged, then the value of integral changes its sign only.

Property 3 :

Property 4 :

Property 5 :
If f(x) is integrable on a closed interval containing the three numbers a, b and c, then regardless of the order of a, b and c.

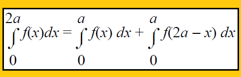
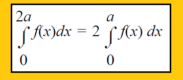
Property 6 :

Property 7 :

Property 8 :
To check if the function is odd or even, in the given function f(x) apply x = -x


Evaluate the following problems using properties of integration.



Question 1 :

The given function is odd.

Question 2 :

The given function is odd.

Question 3 :


Question 4 :

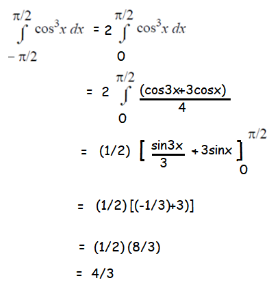
The function f(x) is even.

Question 5 :

The function f(x) is even.

= 1 - (1/2) [-1/3+1]
= 1-(1/2)[2/3]
= 1-(1/3)
= 2/3
Question 6 :

The function f(x) is odd.

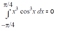
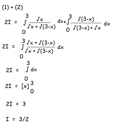
Question 7 :


2I = 0
I = 0
So, the answer is 0.
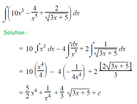
Question 8 :


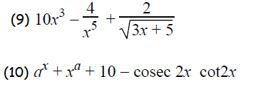
Question 9 :

Question 10 :


Apart from the stuff given above, if you need any other stuff in math, please use our google custom search here.
Subscribe to our ▶️ YouTube channel 🔴 for the latest videos, updates, and tips.
Kindly mail your feedback to v4formath@gmail.com
We always appreciate your feedback.
About Us | Contact Us | Privacy Policy
©All rights reserved. onlinemath4all.com

May 21, 26 01:17 AM
May 17, 26 09:03 AM
Apr 24, 26 09:30 PM