Subscribe to our ▶️ YouTube channel 🔴 for the latest videos, updates, and tips.
(1) In the matrix A =

(2) If a matrix has 18 elements, what are the possible orders it can have? What if it has 6 elements?
(3) Construct a 3 x 3 matrix whose elements are given by
(i) aij = |i - 2j| Solution
(ii) aij = (i + j)3/3 Solution
(4) If A =

ten find the transpose of A Solution
(5) If A =

then find the transpose of-A. Solution
(6) If A =

then verify (AT )T = A Solution
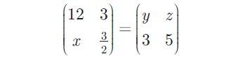
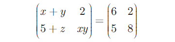
(7) Find the values of x, y and z from the following equations

Solution

Solution

Solution
Subscribe to our ▶️ YouTube channel 🔴 for the latest videos, updates, and tips.
Kindly mail your feedback to v4formath@gmail.com
We always appreciate your feedback.
About Us | Contact Us | Privacy Policy
©All rights reserved. onlinemath4all.com

May 21, 26 01:17 AM
May 17, 26 09:03 AM
Apr 24, 26 09:30 PM