Subscribe to our ▶️ YouTube channel 🔴 for the latest videos, updates, and tips.
If
y = f(u) and u = g(x)
and both dy/du and du/dx exists, then the derivative of the function
y = f[g(x)] exists and is given by
dy/dx = (dy/du) ⋅ (du/dx)
Example 1 :
Differentiate log √x
Solution :
Let y = log √x
Using chain rule :
y = log √x
dy/dx = (1/√x)⋅(1/2√x)
dy/dx = 1/2x ---(1)
Using substitution :
y = log √x
Let t = √x, then y = log t
dy/dx = (dy/dt)⋅(dt/dx)
dy/dt = 1/t and dt/dx = 1/2√x
= (1/t)⋅(1/2√x)
By replacing t by √x, we get
= (1/√x)⋅(1/2√x)
dy/dx = 1/2x ---(2)
Note :
In both ways, we should get the same answer.
Example 2 :
Differentiate log sin (x2+2x+3)
Solution :
Let y = log sin (x2+2x+3)
dy/dx = (1/sin (x2+2x+3)) cos (x2+2x+3)(2x+2)
= 2(x+1)cos (x2+2x+3)/sin (x2+2x+3)
dy/dx = 2(x+1) cot (x2+2x+3)
Example 3 :
Differentiate [e-6t + sin(2-t)]3
Solution :
Let y = [e-6t + sin(2-t)]3
dy/dx = 3[e-6t + sin(2-t)]2[e-6t (-6) + cos(2-t) (-1)]
= 3[e-6t + sin(2-t)]2[-6e-6t - cos(2-t)]
dy/dx = -3[e-6t + sin(2-t)]2[6e-6t + cos(2-t)]
Example 4 :
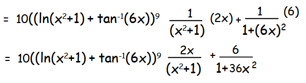
Differentiate ((ln(x2+1) + tan-1(6x))10
Solution :
Let y = ((ln(x2+1) + tan-1(6x))10

Example 5 :
Differentiate √(5x+ tan(4x))
Solution :
Let y = √(5x+ tan(4x))
dy/dx = [1/2√(5x+ tan(4x))] [5+sec2(4x) 4]
dy/dx = [1/2√(5x+ tan(4x))] [5+4sec2(4x)]
Example 6 :
Differentiate cos(x2ex)
Solution :
y = cos(x2ex)
dy/dx = -sin(x2ex) [x2 ex + ex 2x]
dy/dx = -xex(x + 2)sin(x2ex)
Subscribe to our ▶️ YouTube channel 🔴 for the latest videos, updates, and tips.
Kindly mail your feedback to v4formath@gmail.com
We always appreciate your feedback.
About Us | Contact Us | Privacy Policy
©All rights reserved. onlinemath4all.com

Jan 27, 26 07:05 AM
Jan 19, 26 06:14 AM
Jan 12, 26 06:35 AM