Subscribe to our ▶️ YouTube channel 🔴 for the latest videos, updates, and tips.
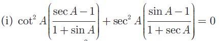
Question 1 :
Prove that



= 0

Solution :
L.H.S :
= (tan2θ - 1)/(tan2θ + 1)
= [(sin2θ/cos2θ) - 1] / [(sin2θ/cos2θ) + 1]
= [(sin2θ - cos2θ)/cos2θ] / [(sin2θ + cos2θ)/cos2θ]
= [(sin2θ - cos2θ)/cos2θ] ⋅ [cos2θ/1]
= sin2θ - cos2θ
= 1 - cos2θ - cos2θ
= 1 - 2cos2θ
R.H.S
Hence proved.
Question 2 :
Prove that

Solution :
[(1 + sin θ - cos θ)/(1 + sin θ + cos θ)]2
= [(1 + sinθ) - cos θ]2/[(1 + sinθ) + cos θ]2
Expanding the numerator and denominator using the formula (a - b)2 and (a + b)2
= [(1+sinθ)2+cos2θ - 2(1+sin θ)cos θ] / [(1+sinθ)2+cos2θ + 2(1+sin θ)cos θ]
Numerator :
(1 + sinθ)2 + cos2θ - 2(1 + sin θ)cos θ
= 1 + sin2θ + 2sinθ + cos2θ - 2cos θ - 2cos θ sin θ
= 1 + (sin2θ + cos2θ) + 2sinθ - 2cos θ - 2cos θ sin θ
= 2 + 2sinθ - 2cos θ - 2cos θ sin θ
= 2(1 + sinθ - cos θ - cos θ sin θ)
= 2 [(1 + sinθ) - cos θ(1 + sinθ)]
= 2 [(1 + sinθ) (1 - cos θ)] -----(1)
Denominator :
[(1+sinθ)2+cos2θ + 2(1+sin θ)cos θ]
= 1 + sin2θ + 2sinθ + cos2θ + 2cos θ + 2cos θ sin θ
= 1 + (sin2θ + cos2θ) + 2sinθ + 2cos θ + 2cos θ sin θ
= 2 + 2sinθ + 2cos θ + 2cos θ sin θ
= 2(1 + sinθ + cos θ + cos θ sin θ)
= 2 [(1 + sinθ) + cos θ(1 + sinθ)]
= 2 [(1 + sinθ) (1 + cos θ)] -----(2)
(1)/(2)
= {2 [(1 + sinθ) (1 - cos θ)] }/{2 [(1 + sin θ) (1 + cos θ)]}
= (1 - cos θ)/(1 + cos θ)
Hence proved.
Question 3 :
If x sin3 θ + y cos3 θ = sin θ cos θ and x sin θ = y cos θ , then prove that x2 +y2 = 1 .
Solution :
x sinθ (sin2θ) + (y cosθ)cos2θ = sinθcosθ
x sinθ (sin2θ) + (x sinθ) cos2θ = sinθcosθ
Since x sinθ = y cosθ
x sinθ (sin2θ + cos2θ) = sin θ cosθ
x sinθ = sinθ cosθ
x = cos θ
y = sinθ
Hence x2 + y2 = cos2θ + sin2θ = 1.
Question 4 :
If a cos θ - b sin θ = c, then prove that (a sin θ + b cos θ) = ± √(a2 + b2 - c2)
Solution :
a cos θ - b sin θ = c (Squaring on both sides )
a2cos2 θ + b2 sin2 θ - 2 a b sin θ cos θ = c2 ----------(1)
Let a sin θ + b cos θ = k (Squaring on both sides )
b2 cos2 θ + a2 sin2 θ + 2ab sin θ cos θ = k2 ----------(2)
Adding (1) and (2) we get
a2 + b2 = c2 + k2
k2 = a2 + b2 - c2
k = √(a2 + b2 - c2)
a sin θ + b cos θ = √(a2 + b2 - c2)
Subscribe to our ▶️ YouTube channel 🔴 for the latest videos, updates, and tips.
Kindly mail your feedback to v4formath@gmail.com
We always appreciate your feedback.
About Us | Contact Us | Privacy Policy
©All rights reserved. onlinemath4all.com

May 17, 26 09:03 AM
Apr 24, 26 09:30 PM
Apr 24, 26 09:05 PM