Subscribe to our ▶️ YouTube channel 🔴 for the latest videos, updates, and tips.
Example 1 :
Find the area of the region described.
The region bounded by y = 4(x + 1), y = 5(x + 1) and x = 3
Solution :
x-intercepts and y-intercepts of y = 4(x + 1)
|
x-intercept y = 0 x + 1 = 0 x = -1 (-1, 0) |
y-intercept x = 0 y = 4(0 + 1) y = 4 (0, 4) |
x-intercepts and y-intercepts of y = 5(x + 1)
|
x-intercept y = 0 x + 1 = 0 x = -1 (-1, 0) |
y-intercept x = 0 y = 5(0 + 1) y = 5 (0, 5) |

Required area :

= (9/2 + 3) - (1/2 - 1)
= (15/2) - (-1/2)
= (15 + 1)/2
= 16/2
= 8
Example 2 :
Find the area of the region in the first quadrant bounded by the line y = 2x, the line x = 4 the curve y = 2/x, and the x-axis.
Solution :


= (1 - 0) + 2(log 4 - log 1)
= 1 + 2 (log4 - 0)
= 1 + log 16
Example 3 :
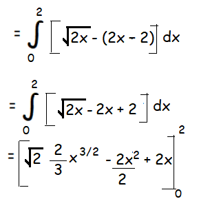
Find the area of the region bounded by y = √(2x), y = 2x - 2 and y = 0.
Solution :


= (2√2/3) (2)3/2 - 4 + 4
= 8/3
So, the required area is 8/3.
Subscribe to our ▶️ YouTube channel 🔴 for the latest videos, updates, and tips.
Kindly mail your feedback to v4formath@gmail.com
We always appreciate your feedback.
About Us | Contact Us | Privacy Policy
©All rights reserved. onlinemath4all.com

May 21, 26 01:17 AM
May 17, 26 09:03 AM
Apr 24, 26 09:30 PM