Subscribe to our ▶️ YouTube channel 🔴 for the latest videos, updates, and tips.
(1) Find the order of the product matrix AB if

(2) If A is of order p x q and B is of order q x r what is the order of AB and BA? Solution
(3) A has ‘a’ rows and ‘a + 3 ’ columns. B has ‘b’ rows and ‘17–b’ columns, and if both products AB and BA exist, find a, b? Solution
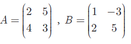
(4) If

find AB, BA and check if AB = BA? Solution
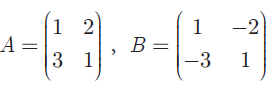
(5) Given that

verify that A(B + C) = AB + AC . Solution
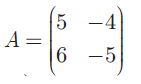
(6) Show that the matrices

satisfy commutative property AB = BA Solution
(7)

Show that (i) A(BC) = (AB)C
(ii) (A−B)C = AC −BC (iii) (A−B)T = AT −BT Solution
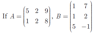
(8) If

then show that A2 +B2 = I . Solution
(9) If A =

prove that AAT = I . Solution
(10) Verify that A2 = I when

(11)

(12)

verify that (AB)T = BTAT Solution
(13)

show that A2 - 5A + 7I2 = 0 Solution
Subscribe to our ▶️ YouTube channel 🔴 for the latest videos, updates, and tips.
Kindly mail your feedback to v4formath@gmail.com
We always appreciate your feedback.
About Us | Contact Us | Privacy Policy
©All rights reserved. onlinemath4all.com

May 29, 26 09:41 PM
May 21, 26 01:17 AM
May 17, 26 09:03 AM