Subscribe to our ▶️ YouTube channel 🔴 for the latest videos, updates, and tips.
Question 1 :
If

find AB, BA and check if AB = BA?
Solution :
AB =

BA =

AB and BA are not equal.
Question 2 :
Given that

verify that A(B + C) = AB + AC .

R.H.S :
AB =


Now, let us add AB and AC

Hence proved.
Question 3 :
Show that the matrices

satisfy commutative property AB = BA
Solution :


Hence the commutative property is true for the above matrices.
Question 4 :

Show that (i) A(BC) = (AB)C
(ii) (A−B)C = AC −BC (iii) (A−B)T = AT −BT
Solution :
(i) A(BC) = (AB)C
First let us find the product of B and C.

Let us multiply the matrices A and BC.

Let us find the product of AB.

Multiplying the matrices AB and , we get

A(BC) = (AB)C
Hence it is proved.
(ii) (A−B)C = AC −BC
Solution :
L.H.S
(A−B) C =

R.H.S :
AC =

BC =


(A−B)C = AC −BC
(iii) (A−B)T = AT −BT


Hence proved.
Question 5 :
If

then show that A2 +B2 = I .
Solution :
A2 = A x A

B2 = B x B

By adding the corresponding terms, we get

Hence proved.
Question 6 :
If A =

prove that AAT = I .
Solution :

Question 7 :
Verify that A2 = I when

Solution :

= I (hence proved)
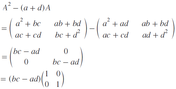
Question 8 :

Solution :


Question 9 :

verify that (AB)T = BTAT
Solution :

Question 10 :

show that A2 - 5A + 7I2 = 0
Solution :

Hence proved.
Subscribe to our ▶️ YouTube channel 🔴 for the latest videos, updates, and tips.
Kindly mail your feedback to v4formath@gmail.com
We always appreciate your feedback.
About Us | Contact Us | Privacy Policy
©All rights reserved. onlinemath4all.com

May 29, 26 09:41 PM
May 21, 26 01:17 AM
May 17, 26 09:03 AM