Subscribe to our ▶️ YouTube channel 🔴 for the latest videos, updates, and tips.
Use of Parentheses :
When we evaluate expressions, we have to perform operations inside the parentheses. If we have two or more parentheses, then we have to simplify the terms which are in the inner most bracket.
Parentheses also known as bracket.
Let us see some examples to understand the use of parentheses.
Example 1 :
Evaluate (6 + 4) × (3 + 8 + 1)
Solution :
Whenever we want to evaluate an algebraic expression, first we have to do the operations inside parentheses.
After combining two or more terms inside the parentheses as one term, we can remove the bracket.
= 10 x 12
= 120
Example 2 :
Evaluate 11 + (20 - 13)
Solution :
Whenever we want to evaluate an algebraic expression, first we have to do the operations inside parentheses.
By subtracting 13 from 20 we get,
= 11 + 7
= 18
Whenever we have any number or variable outside the parentheses, we have to distribute that number or variable inside the bracket and remove the parentheses.
Example 3 :
Evaluate 12 - 5a (4 + 3a)
Solution :
Whenever we want to evaluate an algebraic expression, first we have to do the operations inside parentheses.

When we see two or more numbers together that are separated by parentheses, then the parentheses are telling us to multiply.
Example 4 :
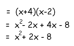
Evaluate (x + 4) (x - 2)
Solution :
To evaluate this, we need to multiply the first term Whenever we want to evaluate an algebraic expression, first we have to do the operations inside parentheses.

Example 5 :
Evaluate the following

Solution :
Here we have 36 ÷ 12 inside the bracket, by dividing 36 and 12, we get 3.
= 6 x 3² + 8
Now we have to find the value of 3².
= 6 x 9 + 8
Now we have two signs multiplication and addition. According to the order of operation, we have to do multiplication and then addition.
= 54 + 8
= 62
Example 6 :
Evaluate the following

Solution :
Here we have (4 + 2)² in the inner most bracket. So, first we have to add 4 and 2 and find the square of the sum.
= 12 x (6² / 4) - 7
= 12 x (36 / 4) - 7
= 12 x 9 - 7
= 108 - 7
= 101
Example 7 :
Evaluate the following

Solution :
Here we have (11 - 9)³ in the inner most bracket. So, first we have to subtract 9 from 11, then take cube for the result.
= 320 ÷ (2³ / 2) x 8
= 320 ÷ (8 / 2) x 8
= 320 ÷ 4 x 8
= 80 x 8
= 640
Let us see some more stuff about order of operation.
Subscribe to our ▶️ YouTube channel 🔴 for the latest videos, updates, and tips.
Kindly mail your feedback to v4formath@gmail.com
We always appreciate your feedback.
About Us | Contact Us | Privacy Policy
©All rights reserved. onlinemath4all.com

Jan 12, 26 06:04 AM
Jan 07, 26 01:53 PM
Jan 05, 26 06:56 PM