Subscribe to our ▶️ YouTube channel 🔴 for the latest videos, updates, and tips.
Definition of complex rational expressions :
Complex rational expressions, also called complex fractions, have numerators or denominators containing one or more fractions.
Method 1 : (Using division method)
If the given complex fractions have a single fraction in both numerator and denominator, then multiply the fraction in the numerator by the reciprocal of the denominator.

Method 2 : (Using LCM method)
Step 1 :
If the given complex fractions have a two or more fractions they are added or subtracted in both numerator and denominator with like denominators, write the denominator once and add the numerators.
Step 2 :
If the given complex fractions have two or more fractions and they are added or subtracted in both numerator and denominator with unlike denominators, then we have to use least common multiple and combine them.
Step 3 :
Simplify the numerator and denominator.
Step 4 :
To get the result, Multiply the fraction in the numerator by the reciprocal of the denominator

Method 3 : (Using cross multiplication method)
Step 1 :
If the given complex fractions have a one fractions and one integer, then we have to apply the cross multiplication method.
Step 2 :
Simplify the numerator and denominator.
Step 3 :
To get the result, multiply the fraction in the numerator by the reciprocal of the denominator

Note :
Some times there must be a necessity of using algebraic identities and factorization.
Example 1 :

Solution :
By taking the least common multiple of numerator and denominator, we get

So, the answer is (x + 4)/2.
Example 2 :

Solution :
By taking the least common multiple of the denominator, we get

= (1 - m)/m2 - 12
= -(-1 + m)/(m + 1)(m - 1)
= - 1/(m + 1)
So, the answer is - 1/(m + 1).
Example 3 :

Solution :
By taking the least common multiple of numerator and denominator, we get

So, the answer is (x + 4)/4
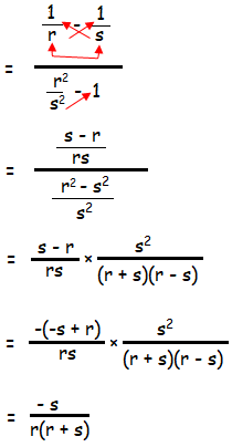
Example 4 :

Solution :
By using cross multiplication, we get

So, the answer is (-s)/[r(r + s)]
Example 5 :

Solution :
By using cross multiplication, we get

So, the answer is 1/(x - 1)
Example 6 :

Solution :
By cross multiplication, we get

So, the answer is a/(a + 1)
Example 7 :

Solution :
By taking the least common multiple of numerator and denominator, we get

So, the answer is (x + 1)/(x - 3)
Example 8 :

Solution :
By cross multiplication, we get

So, the answer is 1/(2a2).
Example 9 :
[5x/(x + 2)] ÷ [10/(x - 2)]
Solution :
[5x/(x + 2)] ÷ [10/(x - 2)]
= [5x/(x + 2)] ⋅ [(x - 2)/10]
= 5x(x - 2)/10(x + 2)
= x(x - 2)/2(x + 2)
Example 10 :
[(x/y2) + (1/y)] ÷ [(y/x2) + (1/x)]
Solution :
= [(x/y2) + (1/y)] ÷ [(y/x2) + (1/x)]
= [(x + y) / y2] ÷ [(y + x)/x2]
= [(x + y) / y2] ⋅ [x2 / (y + x)]
= x2 / y2
Example 11 :
[8x/(x - 4)] ÷ [3/(x + 4)]
Solution :
= [8x/(x - 4)] ÷ [3/(x + 4)]
= [8x/(x - 4)] ⋅ [(x + 4)/3]
Simplification is not possible here, then multiply the numerator by numerator multiply the denominator by denominator.
= 8x(x + 4)/3(x - 4)
Example 12 :
[(b/a2) + (1/a)] ÷ [(a/b2) + (1/b)]
Solution :
= [(b/a2) + (1/a)] ÷ [(a/b2) + (1/b)]
= [(b + a) / a2] ÷ [(a + b)/b2]
= [(a + b) / a2] ⋅ [b2 / (a + b)]
= b2 / a2
Example 13 :
[(4x2 - y2)/xy] ÷ [(2/y) - (1/x)]
Solution :
= [(4x2 - y2)/xy] ÷ [(2/y) - (1/x)]
= [(2x)2 - y2)/xy] ÷ [(2x - y)/xy]
= [(2x + y) (2x - y)/xy] ÷ [(2x - y)/xy]
= [(2x + y) (2x - y)/xy] ⋅ [xy /(2x - y)]
= 2x + y
Example 14 :
(a-1 + 1)/(a-1 - 1)
Solution :
(a-1 + 1)/(a-1 - 1)
= (1/a + 1) / (1/a - 1)
= (1 + a)/a / (1 - a)/a
= [(1 + a)/a] ⋅ [a/(1 - a)]
= (1 + a)/(1 - a)
Example 15 :
[3x-1 + (2y)-1] / x-2
Solution :
= [3x-1 + (2y)-1] / x-2
= [3/x + (1/2y)] / (1/x2)
= [(6y + x)/2xy] / (1/x2)
(x + 6y) / 2xy ⋅ (x2 / 1)
= x(x + 6y)/2y
Example 16 :
[5x-2 - 3y-1] / (x-1 + y-1)
Solution :
= [5x-2 - 3y-1] / (x-1 + y-1)
= [5/x2 - 3/y] / ((1/x) + (1/y)]
= [(5y - 3x2)/(x2y)] / [(x + y)/xy]
= [(5y - 3x2)/(x2y)] ⋅ [xy / (x + y)]
= (5y - 3x2)/x (x + y)
Example 17 :
[a-1 + 2a-2] / [2a-1 + (2a)-1]
Solution :
= [a-1 + 2a-2] / [2a-1 + (2a)-1]
= [1/a + 2/a2] / [2/a + 1/2a]
= [(a + 2)/a2] / [(4 + 1)/2a]
= [(a + 2)/a2] / [5/2a]
= [(a + 2)/a2] ⋅ [2a/5]
= 2(a + 2)/5a
Example 18 :
[5x-1 - 2y-1] / [25x-2 - 4y-2]
Solution :
= [5x-1 - 2y-1] / [25x-2 - 4y-2]
= [5/x - 2/y] / [(25/x2) - (4/y2)]
= [(5y - 2x)/xy] / [(25y2 - 4x2)/x2 y2]
= [(5y - 2x)/xy] / [(5y)2 - (2x)2]/x2 y2]
= [(5y - 2x)/xy] / [(5y + 2x)(5y - 2x)/x2 y2]
= [(5y - 2x)/xy] ⋅ [x2 y2/(5y + 2x)(5y - 2x)]
= xy/(5y + 2x)
Subscribe to our ▶️ YouTube channel 🔴 for the latest videos, updates, and tips.
Kindly mail your feedback to v4formath@gmail.com
We always appreciate your feedback.
About Us | Contact Us | Privacy Policy
©All rights reserved. onlinemath4all.com

May 21, 26 01:17 AM
May 17, 26 09:03 AM
Apr 24, 26 09:30 PM