Subscribe to our ▶️ YouTube channel 🔴 for the latest videos, updates, and tips.
(1) It takes George 3 minutes to read 300 words. If each page in a book that he is reading has 750 words, how long will it take George to read 6 pages ?
(A) 30 minutes (B) 45 minutes (C) 60 minutes
(D) 90 minutes (E) 250 minutes
(2) [(1/2) - (3/4)]2 + (5/10) =
(A) 9/16 (B) 1/2 (C) 1/16 (D) 3/4 (E) 1/4
(3) If x = 25 ⋅ 32 ⋅ 7, then what is the value of x ?
(A) 1150 (B) 2000 (C) 2015 (D) 2016 (E) 3050
(4) A right cylindrical can is being filled with water. At 1 P.M, it is half full. At 2 P.M, it is 3/4th full. At this rate, when was it empty ?
(A) 11 : 00 A.M (B) 11 : 30 A.M (C) 12 : 00 P.M
(D) 12 : 30 P.M (E) 3 : 00 P.M
(5) If x8 = (22) 4, what is x2 ?
(A) 2 (B) 4 (C) 8 (D) 64 (E) 128
(6) James has a work to finish. He finishes 1/8 of the total work on the first day. What fraction of the work is left ?
(A) 1/8 (B) 3/8 (C) 7/8 (D) 3/4 (E) 1/4
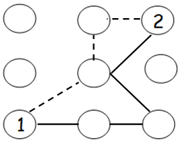
(7)

There are two different pathways connecting 1 and and 2. How many fewer steps is the solid line path than the dotted line path. (A step is defined as a line segment connecting 2 circles)
(A) -4 (B) -1 (C) 1 (D) 4 (E) 7
(8) Jackie and Jesse each solve the same problem in a different way
Problem √(a + b) = ?
Jackie's way = √(a + b) = √a + √b
Jesse's way : √(a + b) = √(a+b)
If a = 9 and b = 25, how much bigger is Jakie's way than Jesse's way ?
(A) -2 (B) 0 (C) 2 (D) √36 (E) 8 - √34
(9) If θ { a, b, c, d, e, f, g, h, i } = [ab - cd + (ef)2 (gh)2]/i
Which cannot be value of θ ?
(A) θ (0, 0, 0, 0, 0, 0, 0, 0, 1)
(B) θ (1, 1, 1, 1, 1, 1, 1, 1, 0)
(C) θ (2, 2, 2, 2, 2, 2, 2, 2, 10)
(D) θ (2,3, 1, 4, 5, 6, 7, 0, 10)
(E) 0
(10) If James grows by 20 inches every day starting Monday. What is the difference in his height between Wednesday and Monday ?
(A) 0 inches (B) 20 inches (C) 30 inches
(D) 40 inches (E) 60 inches
(11) Evaluate ([1/2)-(3/4)] ÷ (1/2) =
(A) 1/2 (B) 3/2 (C) -1/2 (D) -3/4 (E) 1
(12)

Line q intersects the parallel lines p and l. What is y3/3 ?
(A) x4/3 (B) x6 (C) x9 (D) x4/9 (E) x6/3
(13) Given the arithmetic sequence x, y, 30, z, f then find the value of x + y + z + f
(A) 60 (B) 80 (C) 120 (D) 130 (E) 140
(14) If (-1)2 = 1, then the value (-1) 2023 is
(A) -2023 (B) -1 (C) 0 (D) 1 (E) 2023
(15) Caroline has two times as many marbles as Jake. Jake has 12 less than 7 times as many marbles James has. James has 14 marbles. How many marbles dies Caroline have ?
(A) 52 (B) 54 (C) 86 (D) 98 (E) 172
(16) John is trying to escape a ditch. Every time he jumps 10 meters, he falls back 5 meters right after. The ditch is 19 meters long. What is the minimum number of jumps he needs to make to escape ?
(A) 3 (B) 4 (C) 5 (D) 7 (E) 8
(17) What is the largest number of digits that the product of 3 digit and 2 digit number has ?
(A) 4 digit (B) 5 digit (C) 6 digit
(D) 7 digit (E) 8 digit
(18) If Fn = 2 Fn-1 + 3 Fn-2, then what is F3 if F1 = F2 = 1 ?
(A) 2 (B) 3 (C) 4 (D) 5 (E) 10
(19) Sam walks 3m to the west, then 4m south, then 4 m North. How far is he from his original location ?
(A) 3 m (B) 5 m (C) 7 m (D) 8 m (E) 12 m
(20) If a = 3 and b = 5, what is the value of 9a/(b-a) ?
(A) 9 (B) 27 (C) 13/5 (D) 27/2 (E) 26/5
Subscribe to our ▶️ YouTube channel 🔴 for the latest videos, updates, and tips.
Kindly mail your feedback to v4formath@gmail.com
We always appreciate your feedback.
About Us | Contact Us | Privacy Policy
©All rights reserved. onlinemath4all.com

May 10, 26 05:50 PM
Apr 24, 26 09:30 PM
Apr 24, 26 09:05 PM