Subscribe to our ▶️ YouTube channel 🔴 for the latest videos, updates, and tips.
Question 1 :
If A =

then verify that
(i) A + B = B + A (ii) A + (−A) = (−A) + A = O. Solution
Question 2 :
If

then verify that A + (B + C) = (A + B) + C. Solution
Question 3 :
Find X and Y if

Question 4 :

find the value of (i) B - 5A (ii) 3A - 9B
Question 5 :
Find the values of x, y, z if

Question 6 :
Find x and y if

Question 7 :
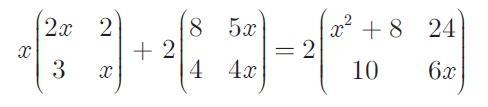
Find the non-zero values of x satisfying the matrix equation

Question 8 :
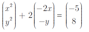
Solve for x, y :

Subscribe to our ▶️ YouTube channel 🔴 for the latest videos, updates, and tips.
Kindly mail your feedback to v4formath@gmail.com
We always appreciate your feedback.
About Us | Contact Us | Privacy Policy
©All rights reserved. onlinemath4all.com

May 29, 26 09:41 PM
May 21, 26 01:17 AM
May 17, 26 09:03 AM