Subscribe to our ▶️ YouTube channel 🔴 for the latest videos, updates, and tips.
Question 1 :
Rationalize the denominator
(i) 1/√50
Solution :
In order to rationalize the denominator, we have to multiply both numerator and denominator of the given rational number by √50.

(ii) 5/3√5
Solution :
= 5/3√5
Let us multiply the numerator and denominator by √5.
= (5/3√5) ⋅ (√5/√5)
= 5√5/3(5)
= √5/3
Hence the answer is √5/3.
(iii) √75/√18
Solution :
= √75/√18
= 5 √3/3√2
= (5/3) (√3/√2)
Multiply both numerator and denominator by √2, we get
= 5 √6/6
Hence the answer is 5 √6/6.
(iv) 3√5/√6
Solution :
= 3√5/√6
= (3√5/√6) ⋅ (√6/√6)
= 3√30/6
= √30/2
Hence the answer is √30/2.
Question 2 :
Rationalize the denominator and simplify
(i) (√48 + √32) / (√27 - √18)
Solution :
Since the denominator is of 2 terms, we have to multiply the numerator and denominator by the conjugate of denominator.
= [(√48 + √32) / (√27 - √18)] ⋅ [(√27+√18)/(√27+√18)]
= (√48 + √32)(√27+√18) / (27 - 18)
= (√(48 ⋅ 27) + √(48 ⋅ 18) + √(32 ⋅ 27) + √(32 ⋅ 18)/9
= (36 + 12√6 + 12√6 + 24)/9
= (60 + 24√6)/9
= (20 + 8√6)/3
= (4/3)(5 + 2√6)
(ii) (5√3 + √2) / (√3 + √2)
Solution :
= (5√3 + √2) / (√3 + √2)
= [(5√3 + √2) / (√3 + √2)] ⋅ [(√3 - √2) / (√3 - √2)]
= (5(3) - 5√6 + √6 - 2) / (3 - 2)
= (15 - 6√6 - 2) / 1
= 13 - 6√6
(iii) (2√6 - √5) / (3√5 - 2√6)
Solution :
= (2√6 - √5) / (3√5 - 2√6)

(iv) [√5/(√6 + 2)] - [√5/(√6 - 2)]
Solution :
= [√5/(√6 + 2)] - [√5/(√6 - 2)]
= [√5(√6 - 2) - √5(√6 + 2)]/(√6 - 2)(√6 + 2)
= [√30 - 2√5 - √30 - 2√5)]/(6 - 4)
= -4√5/2
= -2√5
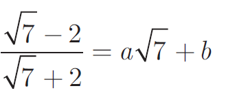
Question 3 :
Find the value of a and b if

Solution :
= [(√7 - 2)/(√7 + 2)] ⋅ [(√7 - 2)/(√7 - 2)]
= [(√7 - 2)2/(√7 + 2)(√7 - 2)]
= (7 - 4√7 + 4)/(7 - 4)
= (11 - 4√7)/3
= (11/3) - (4√7/3)
Hence the value of a is 4/3 and b is 11/3
Question 4 :
If x = √5 + 2, then find the value of x2 + 1/x2
Solution :
x = √5 + 2
a2 + b2 = (a + b)2 - 2ab
x2 + (1/x)2 = (x + (1/x))2 - 2x(1/x)
= (x + (1/x))2 - 2 ----(1)
x + (1/x) = √5 + 2 + (1/(√5 + 2))
= ((√5 + 2)2 + 1)/(√5 + 2)
= (5 + 2 + 4√5 + 1)/(2 + √5)
= (8 + 4√5)/(2 + √5)
= 4(2 + √5)/(2 + √5)
= 4
x2 + (1/x)2 = 4
By applying the value of x2 + (1/x)2 in (1), we get
= 4 - 2
= 2
Hence 2 is the answer.
Question 5 :
Given that √2 = 1.414, find the value of (8-5√2)/(3-2√2) (to 3 places of decimals).
Solution :
(8-5√2)/(3-2√2)

= 5.414 is the answer
Subscribe to our ▶️ YouTube channel 🔴 for the latest videos, updates, and tips.
Kindly mail your feedback to v4formath@gmail.com
We always appreciate your feedback.
©All rights reserved. onlinemath4all.com
Nov 28, 25 09:55 AM
Nov 26, 25 09:03 AM
Nov 21, 25 09:03 AM