Subscribe to our ▶️ YouTube channel 🔴 for the latest videos, updates, and tips.
Polynomial :
In mathematics, a polynomial is an expression consisting of variables and coefficients, that involves only the operations of addition, subtraction, multiplication, and non-negative integer exponents of variables.
Examples :
2x-1√y - 4 is not a polynomial
3x³ y² is a polynomial in the variable x and y
Terms :
Terms are expressions or numbers that are added or subtracted.
Example :
List out the terms in the following polynomial.
2m2 + 5m - 3
Solution :
In the polynomial above, we have three terms.
2m2 is the first term
5m is the second term
- 3 is the third term
Degree of a Polynomial :
The degree of a polynomial is the highest exponent or power of the variable that occurs in the polynomial.
Example :
Find the degree of the polynomial
4x3 - 2x2 + x - 12
Solution :
The highest power of the given polynomial is 3. Hence the degree of the polynomial is 3.
Leading Term and Leading Coefficient :
The term with the highest degree is called the leading term because it is usually written first. The coefficient of the leading term is called the leading coefficient.
Example :
Find the leading term and leading coefficient in the following polynomial.
3x4 - 4x2 + x3 + 2x - 7
Solution :
Leading term = 3x4
Leading coefficient = 3
Monomial :
We can classify polynomials based on the number of terms. A polynomials which have only one term are known as monomials.
Example :
Find which of the following are monomials
5x - 3 y, 3a, 27m - n + 6, 5x³
Solution :
"3a" and "5x³" are monomials, because they have only one term
Binomial :
We can classify polynomials based on the number of terms. A polynomials which have only two terms are called binomials.
Example :
Find which of the following are binomials
5x - 3 y, 3a - 7 - 5x, 27m - n + 6, 5x³ + 7x
Solution :
"5x - 3 y" and "5x³ + 7x" are binomials, because they have only two terms.
Trinomial :
We can classify polynomials based on the number of terms. A polynomials which have only three terms are called trinomials.
Example :
Find which of the following are trinomials
5x - 3 y, 3a - 7 - 5x, 27m - n + 6, 5x³ + 7x
Solution :
"3a - 7 - 5x" and "27m - n + 6" are tronomials, because they have only three terms. polynomial vocabulary
Constant Polynomial :
We can classify polynomials based on the degree. A polynomial of degree zero is called a constant polynomial.
General form :
p(x) = c, where c is a real number.
Example :
Find which of the following are constant polynomial
5x, 3a, 7, 27m - n + 6
Solution :
"7" is the constant polynomial. polynomial vocabulary
Linear Polynomial :
We can classify polynomials based on the degree. A polynomial of degree one is called a linear polynomial.
General form :
P(x) = ax + b
where a and b are real numbers and "a" is not equal to zero.
Example :
Find which of the following are linear polynomial.
5, 3a, 7 - 5x
Solution :
"7 - 5x" and "3a" are linear polynomials. polynomial vocabulary
Quadratic Polynomial :
We can classify polynomials based on the degree. A polynomial of degree two is called a quadratic polynomial.
General form :
P(x) = ax2 + bx + c
where a, b and c are real numbers and "a" is not equal to zero.
Example :
Find which of the following are quadratic polynomials
2m2 + 5m - 3, 5a - 3
Solution :
"2m² + 5m - 3" is the quadratic polynomials.
Cubic Polynomial :
We can classify polynomials based on the degree. A polynomial of degree three is called a quadratic polynomial.
General form :
P(x) = ax3 + bx2 + cx + d
where a, b, c and d are real numbers and "a" is not equal to zero.
Example :
Find which of the following are cubic polynomials
2m2 + 5m - 3
5x3 + 7x
30m3 + 3m2 - 163m + 5
Solution :
5x3 + 7x
30m3 + 3m2 - 163m + 5
Zero of a Polynomial :
If the value of a polynomial is zero for some value of the variable, then that value of the variable is known as zero of the polynomial.
Example :
Find the zero of the following polynomial.
P(x) = x - 2
Solution :
p(x) = 0
x - 2 = 0
x = 2
The value of the given polynomial becomes zero when the value of x is 2.
So, 2 is the zero of the given polynomial.
Note :
Zero of a polynomial is also called as root.
Adding and Subtracting Polynomials :
To add or subtract polynomials, like terms terms have to be combined.
Example :
Add (7p3 + 4p2- 8p + 1) and (3p3- 5p2- 10p + 5).
Solution :
= (7p3 + 4p2- 8p + 1) + (3p3- 5p2- 10p + 5)
= 7p3 + 4p2- 8p + 1 + 3p3- 5p2- 10p + 5
= 10p3 - p2 - 18p + 6
Multiplying Polynomials :
To multiply two polynomials, we have to multiply each term in one polynomial by each term in the other polynomial.
Example :
Multiply (x - 2) and (x3 + 2x2 - 5) .
Solution :
= (x - 2)(x3 + 2x2 - 5)
= (x ⋅ x3) + (x ⋅ 2x2) - (x ⋅ 5) - (2 ⋅ x3) - (2 ⋅ 2x2) + (2 ⋅ 5)
= x4 + 2x3 - 5x - 2x3 - 4x2 + 10
= x4 - 4x2 -5x + 10
Dividing Polynomials :
Let p(x) and g(x) be two polynomials such that degree of p(x) > = degree of g(x) and g(x) is not equal to zero.
Then there exists unique polynomials q(x) and r(x) such that
p(x) = g(x) ⋅ q(x) + r(x)
where r(x) = 0 or degree of r(x) < g(x)
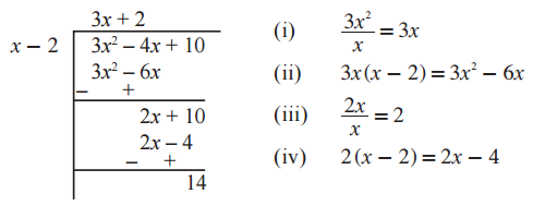
Example :
Find the quotient and remainder when (3x2 - 4x + 10) is divided by (x - 2).
Solution :

Quotient = 3 x + 2
Remainder = 14
Subscribe to our ▶️ YouTube channel 🔴 for the latest videos, updates, and tips.
Kindly mail your feedback to v4formath@gmail.com
We always appreciate your feedback.
About Us | Contact Us | Privacy Policy
©All rights reserved. onlinemath4all.com

May 21, 26 01:17 AM
May 17, 26 09:03 AM
Apr 24, 26 09:30 PM