Subscribe to our ▶️ YouTube channel 🔴 for the latest videos, updates, and tips.
Question 1 :
The monthly salary (in $) of 10 employees in a factory are given below :
5000, 7000, 5000, 7000, 8000, 7000, 7000, 8000, 7000, 5000
Find the mean, median and mode.
Solution :
Mean :
= (5000 + 7000 + 5000 + 7000 + 8000 + 7000 + 7000 + 8000 + 7000 + 5000)/10
= 66000/10
= 6600
Median :
5000, 5000, 5000, 7000, 7000, 7000, 7000, 7000, 8000, 8000
Number of observations = 10 (Even)
Median = {(10/2)th observation + [(10/2) + 1]th}/2
= (5th observation + 6th observation)/2
= (7000 + 7000)/2
= 14000/2
= 7000
Mode :
7000 is repeating 5 times. Hence mode is 7000.
Question 2 :
Find the mode of the given data : 3.1, 3.2, 3.3, 2.1, 1.3, 3.3, 3.1
Solution :
3.1 and 3.3 are repeating twice, so mode is 3.1 and 3.3
It is a bimodal data.
Question 3 :
For the data 11, 15, 17, x+1, 19, x–2, 3 if the mean is 14 , find the value of x. Also find the mode of the data.
Solution :
Mean = (11 + 15 + 17 + x + 1 + 19 + x - 2 + 3)/7
14 = (64 + 2x)/7
14(7) = 64 + 2x
2x = 98 - 64
2x = 34
x = 34/2 = 17
By applying the value of x in the given observation, we get
11, 15, 17, 18, 19, 15, 3
Mode = 15 (Repeating twice)
Question 4 :
The demand of track suit of different sizes as obtained by a survey is given below:

Solution :
Demand for the size 40 is 37.
Hence the demand of size 40 is high.
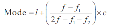
In case of a grouped frequency distribution, the exact values of the variables are not known and as such it is very difficult to locate mode accurately

The class interval with maximum frequency is called the modal class.
Where l - lower limit of the modal class;
f - frequency of the modal class
f1 - frequency of the class just preceding the modal class
f2 - frequency of the class succeeding the modal class
c - width of the class interval
Question 5 :
Find the mode of the following data:

Solution :
|
Marks 0-10 10-20 20-30 30-40 40-50 |
Number of students 22 38 46 34 20 |
The highest frequency is 46
modal class is 20 - 30
l = 20, f = 46, f1 = 38, f2 = 34, c = 10
= 20 + [(46-38)/2(46) - 38 - 34] x 10
= 20 + [8/(92 - 38 - 34)] x 10
= 20 + [8/20] x 10
= 20 + 4
= 24
Hence the mode is 24.
Question 6 :
Find the mode of the following distribution:

Solution :
|
Marks 24.5 - 34.5 34.5 - 44.5 44.5 - 54.5 54.5 - 64.5 64.5 - 74.5 74.5 - 84.5 |
Number of students 4 8 10 14 8 6 |
The highest frequency is 14
modal class is 54.5 - 64.5
l = 54.5, f = 14, f1 = 10, f2 = 8, c = 10
= 54.5 + [(14 - 10)/2(14) - 10 - 8] x 10
= 54.5 + [4/(28 - 18)] x 10
= 54.5 + [4/10] x 10
= 54.5 + 4
= 58.5
Hence the mode is 58.5.
Subscribe to our ▶️ YouTube channel 🔴 for the latest videos, updates, and tips.
Kindly mail your feedback to v4formath@gmail.com
We always appreciate your feedback.
About Us | Contact Us | Privacy Policy
©All rights reserved. onlinemath4all.com

May 10, 26 05:50 PM
Apr 24, 26 09:30 PM
Apr 24, 26 09:05 PM