Subscribe to our ▶️ YouTube channel 🔴 for the latest videos, updates, and tips.
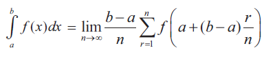
Divide the interval [a,b] into n equal subintervals
[x0, x1], [x1, x2].................,[xn-2, xn-1], [xn-1, xn]
such that a = x0 < x1 < x2 < .............< xn-1< xn < b.

Evaluate the following integrals as the limits of sums:
Problem 1 :
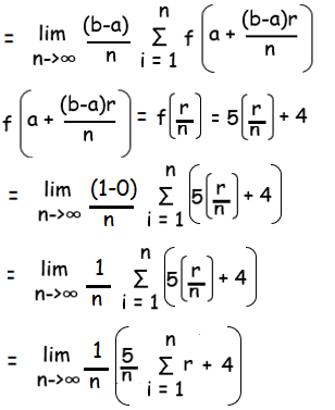
Integral 0 to 1 (5x+4) dx
Solution :
f(x) = (5x+4), a = 0 and b = 1
f(a+(b-a)(r/n)) = f(0+(1-0)(r/n))
= f(r/n)


By applying the limit
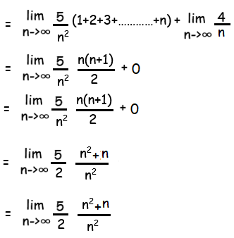
= (5/2) lim n->∞ (1+1/n)
= (5/2)(1+0)
= 5/2
Problem 2 :
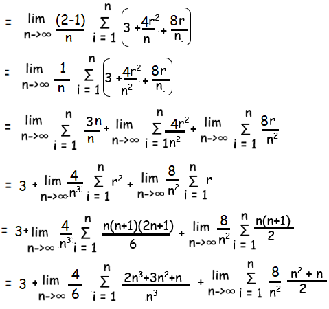
Integral 1 to 2 (4x2-1) dx
Solution :
f(x) = (5x+4), a = 1 and b = 2
f(a+(b-a)(r/n)) = f(1+(2-1)(r/n))
= f(1+r/n)
f(1+(r/n)) = (4(1+(r/n))2-1)
= 4(1+r2/n+2r/n) - 1
= 3+4r2/n+8r/n

By applying the limits,
= 3+(2/3)(2) + 4
= 3+4/3 + 4
= 7+(4/3)
= (21+4)/3
= 25/3

Apart from the stuff given above, if you need any other stuff in math, please use our google custom search here.
Subscribe to our ▶️ YouTube channel 🔴 for the latest videos, updates, and tips.
Kindly mail your feedback to v4formath@gmail.com
We always appreciate your feedback.
About Us | Contact Us | Privacy Policy
©All rights reserved. onlinemath4all.com

May 29, 26 09:41 PM
May 21, 26 01:17 AM
May 17, 26 09:03 AM