Subscribe to our ▶️ YouTube channel 🔴 for the latest videos, updates, and tips.
The series Σ n = 1 to ∞ (−1)n+1 xn /n is called a logarithmic series. This series converges for all values of x satisfying |x| < 1. This series converges when x = 1 also.
For all values of x satisfying |x| < 1, the sum of the series is log(1 + x). Thus
log(1 + x) = x − (x2/2) + (x3/3) − (x4/4) + · · ·
for all values of x satisfying |x| < 1.
By taking −x in place of x we get
log(1 − x) = −x − x2/2 − x3/3 − x4/4 − ·· ·
for all values of x satisfying |x| < 1.
Now log [ (1+x)/(1−x)] = log(1+x) − log(1 − x).
Using this we get
log [ (1 + x)/(1 − x)] = 2 [x + x3/3 + x5/5 +............]
Now log [ (1-x)/(1+x)] = log(1-x) − log(1+x).
Using this we get
log [ (1 - x)/(1 + x)] = -2 [x + x3/3 + x5/5 +............]
Example 1 :
Write the first 4 terms of the logarithmic series
log (1 + 4x)
Solution :
log(1 + x) = x − (x2/2) + (x3/3) − (x4/4) + · · ·
Instead of x, apply 4x
log(1 + 4x) = 4x − [(4x)2/2] + [(4x)3/3] − [(4x)4/4] +..........
= 4x − (16x2/2) + (64x3/3) − (256x4/4) +............
= 4x − 8x2 + (64x3/3) − 64x4 +............
Required condition is |x| < 1/4
Example 2 :
Write the first 4 terms of the logarithmic series
log(1 − 2x)
Solution :
log(1 − x) = −x − x2/2 − x3/3 − x4/4 − ·· ·
Instead of x, apply 2x
log(1 - 2x) = -2x − [(2x)2/2] - [(2x)3/3] − [(2x)4/4] +..........
= -2x − (4x2/2) - (8x3/3) − (16x4/4) +............
= -2x − 2x2 + (8x3/3) − 4x4 +............
Required condition is |x| < 1/2
Example 3 :
Write the first 4 terms of the logarithmic series
log [(1+3x)/(1−3x)]
Solution :
log [ (1 + x)/(1 − x)] = 2 [x + x3/3 + x5/5 +............]
Instead of x, apply 3x
log [ (1 + x)/(1 − x)]
= 2 [3x + (3x)3/3 + (3x)5/5 + (3x)7/7............]
= 2 [3x + (27x3/3) + (243x5/5) + (2187x7/7)+............]
Required condition is |x| < 1/3
Example 4 :
Write the first 4 terms of the logarithmic series
log [(1-2x)/(1+2x)]
Solution :
log [ (1 - x)/(1 + x)] = -2 [x + x3/3 + x5/5 +............]
Instead of x, apply 2x
log [(1-2x)/(1+2x)]
= -2 [2x + (2x)3/3 + (2x)5/5 + (2x)7/7 +............]
= -2 [2x + (8x3/3) + (32x5/5) + (128x7/7)+............]
Required condition is |x| < 1/2
Example 5 :
If y = x + x2/2 + x3/3 + x4/4 + · · · , then show that x = y − y2/2! + y3/3! − y4/4! + · · · .
Solution :
y = x + x2/2 + x3/3 + x4/4 + · · ·
Let us take negative signs on both sides.
-y = -(x + x2/2 + x3/3 + x4/4 + · · · )
-y = -x - x2/2 - x3/3 - x4/4 - · · ·
-y = log (1 - x)
e-y = 1 - x
x = 1 - e-y
x = 1 - [1 - y/1! + y2/2! - y3/3! + ............]
x = 1 - 1 + y/1! - y2/2! + y3/3! - ............
x = y/1! - y2/2! + y3/3! - y4/3 + ............
Hence proved.
Example 6 :
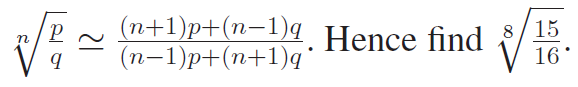
If p − q is small compared to either p or q, then show that

Solution :


Hence proved.
From this, we have to find the value of 8th root of (15/16)
p = 15, q = 16 and n = 8
= [15 (8 + 1) + 16 (8 - 1)]/[15 (8 - 1) + 16 (8 + 1)]
= [15 (9)+16(7)]/[15 (7) + 16 (9)]
= [135 + 112]/[105 + 144]
= 247/249
= 0.9919
Example 7 :
Find the coefficient of x4 in the expansion of (3−4x+x2)/e2x .
Solution :
ex = 1 + x/1! + x2/2! + x3/3! + ..............
(3−4x+x2)/e2x = (3−4x+x2)(1/e2x)
Expansion for ex :
1 + x/1! + x2/2! + x3/3! + x4/4! ..............
Expansion for e2x :
1 - 2x/1! + (-2x)2/2! + (-2x)3/3! + (-2x)4/4! ..............
1 - 2x/1! + 4x2/2 - 8x3/6 + 16x4/24 ..............
= (3−4x+x2) (1 - 2x + 2x2 - 4x3/3 + 2x4/3 ..............)
Coefficient of x4
= 2x4 + (16x4/3) + 2x4
= (2 + 16/3 + 2) x4
= (4 + 16/3)x4
= 28x4/3
= (28/3)x4
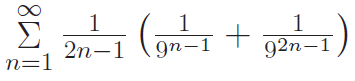
Example 8 :
Find the value
Solution :



Formula for
log [(1 + x)/(1 - x)] = 2 [x + x3/3 + x5/5 +..........]
[x + x3/3 + x5/5 +..........] = (1/2)log [(1 + x)/(1 - x)]
= (3/2) log(1 + (1/3)/(1-(1/3)) + (1/2)log(1 + (1/9)/(1-(1/9))
= (3/2) log(4/2) + (1/2)log(10/9)/(8/9)
= (3/2) log 2 + (1/2) log (5/4)
= (1/2) log 23 + (1/2) log (5/4)
= (1/2) [log 8 + log (5/4)]
= (1/2) log 10
Subscribe to our ▶️ YouTube channel 🔴 for the latest videos, updates, and tips.
Kindly mail your feedback to v4formath@gmail.com
We always appreciate your feedback.
About Us | Contact Us | Privacy Policy
©All rights reserved. onlinemath4all.com

May 29, 26 09:41 PM
May 21, 26 01:17 AM
May 17, 26 09:03 AM