Subscribe to our ▶️ YouTube channel 🔴 for the latest videos, updates, and tips.
In order to check if the given function is continuous at the given point x = x0, it has to satisfy the conditions given below.
(i) lim x -> x0+ f(x) exists
(ii) lim x -> x0- f(x) exists
(iii) lim x-> x0+ f(x) = lim x -> x0- = L
Question 1 :
At the given point x0 discover whether the given function is continuous or discontinuous citing the reasons for your answer :

Solution :
f(x) = (x2 - 1)/(x - 1)
= (x - 1) (x + 1)/(x - 1)
f(x) = (x + 1)
lim x->1- f(x) = 1 + 1 = 2 ------(1)
lim x->1+ f(x) = 1 + 1 = 2 ------(2)
f(1) = 2 ------(3)
lim x->1- f(x) = lim x->1+ f(x) = f (1)
Hence the function is continuous at the point x0 = 1.
Question 2 :

Solution :
f(x) = (x2 - 9)/(x - 3)
= (x - 3) (x + 3)/(x - 3)
f(x) = (x + 3)
lim x->3- f(x) = 3 + 3 = 6 ------(1)
lim x->3+ f(x) = 3 + 3 = 6 ------(2)
f(3) = 5 ------(3)
lim x->3- f(x) = lim x->3+ f(x) ≠ f (3)
Hence the function is not continuous at the point x0 = 3.
Question 3 :
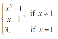
Show that the function

is continuous on (- ∞, ∞).
Solution :
f(x) = (x3 - 1)/(x - 1)
= (x - 1) (x2 + x + 1)/(x - 1)
f(x) = (x2 + x + 1)
lim x->1- f(x) = 12 + 1 + 1
= 3 ------(1)
lim x->1+ f(x) = 12 + 1 + 1
= 3 ------(2)
f(1) = 3 ------(3)
lim x->1- f(x) = lim x->1+ f(x) = f (1)
Hence the function is not continuous at the point x0 = 1.
Question 4 :
For what value of a is this function f(x) =

continuous at x = 1 ?
Solution :
If the given function is continuous at a point x->a, then
lim x->a- f(x) = lim x->a+ f(x) = lim x->af(x)
f(x) = (x4 - 1) / (x - 1)
= ((x2)2 - 1) / (x - 1)
= (x2+ 1)(x2 - 1) / (x - 1)
= (x2+ 1)(x + 1)(x - 1) / (x - 1)
f(x) = (x2 + 1)(x + 1)
lim x->1- f(x) = (12 + 1)(1 + 1) = 4 ---(1)
lim x->1+ f(x) = (12 + 1)(1 + 1) = 4 ---(2)
lim x->1 f(x) = a ---(3)
(1) = (2) = (3)
4 = 4 = a
Hence the value of a is 4.
Subscribe to our ▶️ YouTube channel 🔴 for the latest videos, updates, and tips.
Kindly mail your feedback to v4formath@gmail.com
We always appreciate your feedback.
About Us | Contact Us | Privacy Policy
©All rights reserved. onlinemath4all.com

May 29, 26 09:41 PM
May 21, 26 01:17 AM
May 17, 26 09:03 AM