Subscribe to our ▶️ YouTube channel 🔴 for the latest videos, updates, and tips.
Question 1 :
h = 3a + 28.6
A pediatrician uses the model above to estimate the height h of a boy, in inches, in terms of the boy’s age a, in years, between the ages of 2 and 5. Based on the model, what is the estimated increase, in inches, of a boy’s height each year?
(A) 3 (B) 5.7 (C) 9.5 (D) 14.3
Answer :
At the age of 2, the height of a boy :
h = 3(2) + 28.6
= 6 + 28.6
= 34.6 inches
At the age of 3, the height of a boy :
h = 3(3) + 28.6
= 9 + 28.6
= 37.6 inches
The estimated increase, in inches, of a boy’s height each year :
= 37.6 - 34.6
= 3 inches
The correct answer is (A).
Question 2 :

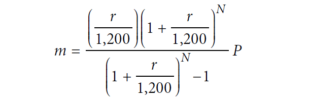
The formula above gives the monthly payment m needed to pay off a loan of P dollars at r percent annual interest over N months. Which of the following gives P in terms of m, r, and N ?

Answer :
This problem seems to be more complicated. Actually, it is not.
We have to do a simple transformation to solve for p :
When the expression in numerator on the right is moved to the left, it will become denominator. Also, when the expression in denominator on the left is moved to the right, it will become numerator.

So, the correct answer is (B).
Question 3 :
If a/b = 2, what is the value of 4b/a ?
(A) 0 (B) 1 (C) 2 (D) 4
Answer :
a/b = 2
Take reciprocal on both sides.
b/a = 1/2
Then,
4b/a = 4(1/2)
= 2
So, the correct answer is (C).
Question 4 :
b = 2.35 + 0.25x
c = 1.75 + 0.40x
In the equations above, b and c represent the price per pound, in dollars, of beef and chicken, respectively, x weeks after July 1 during last summer. What was the price per pound of beef when it was equal to the price per pound of chicken?
(A) $2.60 (B) $2.85 (C) $2.95 (D) $3.35
Answer :
We have to find the price per pound of beef when it was equal to the price per pound of chicken.
2.35 + 0.25x = 1.75 + 0.40x
Subtract 0.25x from each side.
2.35 = 1.75 + 0.15x
Subtract 1.75 from each side.
0.6 = 0.15x
Divide each side by 0.15.
4 = x
Price per pound of beef :
b = 2.35 + 0.25(4)
= 2.35 + 1
= 3.35 dollars
So, the correct answer is (D).
Question 5 :
A line in the xy-plane passes through the origin and has a slope of 1/7. Which of the following points lies on the line?
(A) (0, 7) (B) (1, 7) (C) (7, 7) (D) (14, 2)
Answer :
Find the equation of the line using the information given.
y = mx + b
Substitute m = 1/7 and b = 0.
y = (1/7)x
y = x/7
Check the points in each of the given options with the equation y = x/7.
Only the point (14, 2) satisfies the equation y = x/7.
7 = 14/2
7 = 7
So, the correct answer is (D).
Subscribe to our ▶️ YouTube channel 🔴 for the latest videos, updates, and tips.
Kindly mail your feedback to v4formath@gmail.com
We always appreciate your feedback.
About Us | Contact Us | Privacy Policy
©All rights reserved. onlinemath4all.com

May 10, 26 05:50 PM
Apr 24, 26 09:30 PM
Apr 24, 26 09:05 PM