Subscribe to our ▶️ YouTube channel 🔴 for the latest videos, updates, and tips.
Question 1 :
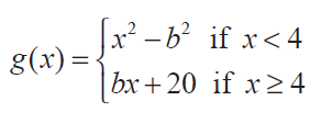
Find the constant b that makes g continuous on (−∞, ∞)

Solution :
Since the function is continuous at the point x = 4, then
lim x-> 4- f(x) = lim x-> 4+ f(x)
lim x-> 4- f(x) = lim x-> 4- x2 - b2
= 42 - b2
= 16 - b2 ----(1)
lim x-> 4+ f(x) = lim x-> 4+- bx + 20
= b(4) + 20
= 4b + 20 ----(2)
(1) = (2)
16 - b2 = 4b + 20
b2 + 4b + 20 - 16 = 0
b2 + 4b + 4 = 0
(b + 2)(b + 2) = 0
b + 2 = 0
b = -2
Hence the value of b is -2.
Question 2 :
Consider the function f (x) = x sin π/x What value must we give f(0) in order to make the function continuous everywhere?
Solution :
f (x) = x sin π/x
Range of sin x is [-1, 1]
-1 ≤ sin π/x ≤ 1
By multiplying x throught the equation, we get
-x ≤ x (sin π/x) ≤ x
Now let us apply the limit values
lim x -> 0 (-x) ≤ lim x -> 0 x (sin π/x) ≤ lim x -> 0 x
0 ≤ lim x -> 0 x (sin π/x) ≤ 0
By sandwich theorem
lim x -> 0 x (sin π/x) = 0
Now let us redefine the function

From this we come to know the value of f(0) must be 0, in order to make the function continuous everywhere
Question 3 :
The function f(x) = (x2 - 1) / (x3 - 1) is not defined at x = 1. What value must we give f(1) inorder to make f(x) continuous at x = 1 ?
Solution :
By applying the limit value directly in the function, we get 0/0.
Now let us simplify f(x)
f(x) = (x2 - 1) / (x3 - 1)
= (x + 1) (x - 1)/(x - 1)(x2 + x + 1)
= (x + 1) / (x2 + x + 1)
lim x-> 1 f(x) = lim x-> 1 (x + 1) / (x2 + x + 1)
= (1 + 1)/ (1 + 1 + 1)
= 2/3
By redefining the function, we get

From this we come to know the value of f(1) must be 2/3, in order to make the function continuous everywhere
Subscribe to our ▶️ YouTube channel 🔴 for the latest videos, updates, and tips.
Kindly mail your feedback to v4formath@gmail.com
We always appreciate your feedback.
About Us | Contact Us | Privacy Policy
©All rights reserved. onlinemath4all.com

May 17, 26 09:03 AM
Apr 24, 26 09:30 PM
Apr 24, 26 09:05 PM