Subscribe to our ▶️ YouTube channel 🔴 for the latest videos, updates, and tips.
The exponent of a number says how many the number has to be multiplied by itself.
In 92 the '2' says that 9 has to be used twice twice in multiplication, so 92 = 9 × 9 = 81.
In words : 92 can be called '9 to the power 2' or '9' to the second power, or simply '9 squared' Exponents are also called Powers or Indices.
We can follow the steps given below to find the missing exponent.
Step 1 :
To find the missing exponent, we have to get the same base on both sides.
Step 2 :
Once we get the same base, exponents can be equated and we can find the value of the missing exponent.
Example 1 :
Find the missing exponent.

Solution :
Let 'x' be the missing exponent.
Then,
25 = 5x
To get the same base on both sides, write 25 in terms of 5 using exponent.
52 = 5x
Equate the exponents.
2 = x
So, the missing exponent is 2.
Example 2 :
Find the missing exponent.

Solution :
Let 'x' be the missing exponent.
Then,
8 = 2x
To get the same base on both sides, write 8 in terms of 2 using exponent.
23 = 2x
Equate the exponents.
3 = x
So, the missing exponent is 3.
Example 3 :
Find the missing exponent.

Solution :
Let 'x' be the missing exponent.
Then,
100 = 10x
To get the same base on both sides, write 100 in terms of 10 using exponent.
102 = 10x
Equate the exponents.
2 = x
So, the missing exponent is 2.
Example 4 :
Find the missing exponent.

Solution :
Let 'x' be the missing exponent.
Then,
27 = 3x
To get the same base on both sides, write 27 in terms of 3 using exponent.
33 = 3x
Equate the exponents.
3 = x
So, the missing exponent is 3.
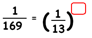
Example 5 :
Find the missing exponent.

Solution :
Let 'x' be the missing exponent.
Then,
1/169 = (1/13)x
Write 169 in terms of 13 using exponent.
1/132 = (1/13)x
13-2 = (13-1)x
13-2 = 13-x
Equate the exponents.
-2 = -x
Multiply each side by (-1).
2 = x
So, the missing exponent is 2.
Example 6 :
Find the missing exponent.

Solution :
Let 'x' be the missing exponent.
Then,
14 = 14x
Already, we have the same on both sides.
141 = 14x
Equate the exponents.
1 = x
So, the missing exponent is 1.
Example 7 :
Find the missing exponent.

Solution :
Let 'x' be the missing exponent.
Then,
64/81 = (8/9)x
Write 64 in terms 8 and 81 in terms of 9 using exponent.
82 / 92 = (8/9)x
(8/ 9)2 = (8/9)x
Equate the exponents.
2 = x
So, the missing exponent is 2.
Example 8 :
Find the missing exponent.

Solution :
Let 'x' be the missing exponent.
Then,
32 = 2x
Write 32 in terms of 2 using exponent.
25 = 2x
Equate the exponents.
5 = x
So, the missing exponent is 5.
Subscribe to our ▶️ YouTube channel 🔴 for the latest videos, updates, and tips.
Kindly mail your feedback to v4formath@gmail.com
We always appreciate your feedback.
About Us | Contact Us | Privacy Policy
©All rights reserved. onlinemath4all.com

May 10, 26 05:50 PM
Apr 24, 26 09:30 PM
Apr 24, 26 09:05 PM