Subscribe to our ▶️ YouTube channel 🔴 for the latest videos, updates, and tips.
Mean :
The arithmetic mean of a given numbers is the sum of all observations divided by the number of observations.

(where ∑xi is the sum of all observations and n is number of observations)
Median :
The median is the middle value of a given numbers when those values are arranged from ascending to descending order.
Median = Middle value
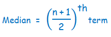
To find the median from the ungrouped numbers, we have to consider if n is odd or even.
If n is even, then using the formula

If n is odd, then using the formula

Mode :
The mode is the value that occurs most often in the given numbers.
Find the mean, median, mode of the following set of numbers.
Problem 1 :
24, 31, 12, 38, 12, 15
Solution :
Let us arrange the numbers in ascending order.
12, 12, 15, 24, 31, 38

= (12 + 12 + 15 + 24 + 31 + 38)/6
= 132/6
Mean x = 22
The number of values = 6
Which is even,

= ((6/2th term) + ((6/2 + 1)th term))/2
= 1/2 (3th term + 4th term)
= 1/2 (15 + 24)
= 1/2 (39)
Median = 19.5
Mode = 12
So, 12 is repeating the largest number of times.
Problem 2 :
5, 28, 16, 32, 5, 16, 48, 29, 5, 35
Solution :
Let us arrange the numbers in ascending order.
5, 5, 5, 16, 16, 28, 29, 32, 35, 48

= (5 + 5 + 5 + 16 + 16 + 28 + 29 + 32 + 35 + 48)/10
= 219/10
Mean x = 21.9
The number of values = 10
Which is even,

= ((10/2)th term) + ((10/2 + 1)th term))/2
= 1/2 (5th term + (5 + 1)th term)
= 1/2 (5th term + 6th term)
= 1/2 (16 + 28)
= 1/2 (44)
Median = 22
Mode = 5
So, 5 is repeating the largest number of times.
Problem 3 :
53, 13, 34, 41, 26, 61, 34, 13, 69
Solution :
Let us arrange the numbers in ascending order.
13, 13, 26, 34, 34, 41, 53, 61, 69

= (13 + 13 + 26 + 34 + 34 + 41 + 53 + 61 + 69)/9
= 344/9
Mean x = 38.22
The number of values = 9
Which is odd,

= ((9 + 1)/2)th term
= ((10/2)th) term
= (5th term)
Median = 34
Mode = 13 and 34
So, 13 and 34 are repeating the largest number of times.
Problem 4 :
85, 58, 72, 85, 46, 93
Solution :
Let us arrange the numbers in ascending order.
46, 58, 72, 85, 85, 93
Mean = (46 + 58 + 72 + 85 + 85 + 93)/6
= 439/6
Mean x = 73.2
The number of values = 6
Which is even,
Median = ((6/2)th term) + ((6/2 + 1)th term))/2
= 1/2 (3th term + (3 + 1)th term)
= 1/2 (3th term + 4th term)
= 1/2 (72 + 85)
= 1/2 (157)
Median = 78.5
Mode = 85
So, 85 is repeating the largest number of times.
Problem 5 :
92, 63, 22, 80, 63, 71, 44, 35
Solution :
Let us arrange the numbers in ascending order.
22, 35, 44, 63, 63, 71, 80, 92
Mean = (22 + 35 + 44 + 63 + 63 + 71 + 80 + 92)/8
= 470/8
Mean x = 58.75
The number of values = 8
Which is even,
Median = ((8/2)th term) + ((8/2 + 1)th term))/2
= 1/2 (4th term + (4 + 1)th term)
= 1/2 (4th term + 5th term)
= 1/2 (63 + 63)
= 1/2 (126)
Median = 63
Mode = 63
So, 63 is repeating the largest number of times.
Problem 6 :
39, 82, 74, 96, 64, 52, 74
Solution :
Let us arrange the numbers in ascending order.
39, 52, 64, 74, 74, 82, 96
Mean = (39 + 52 + 64 + 74 + 74 + 82 + 96)/7
= 481/7
Mean x = 68.71
The number of values = 7
Which is odd,
Median = ((7 + 1)/2)th term
= ((8/2)th) term
= (4th term)
Median = 74
Mode = 74
So, 74 is repeating the largest number of times.
Problem 7 :
72, 43, 15, 66, 32, 72, 52, 19, 28, 81
Solution :
Let us arrange the numbers in ascending order.
15, 19, 28, 32, 43, 52, 66, 72, 72, 81
Mean = (15 + 19 + 28 + 32 + 43 + 52 + 66 + 72 + 72 + 81)/10
= 480/10
Mean x = 48
The number of values = 10
Which is even,
Median = ((10/2)th term) + ((10/2 + 1)th term))/2
= 1/2 (5th term + 6th term)
= 1/2 (43 + 52)
= 1/2 (95)
Median = 47.5
Mode = 72
So, 72 is repeating the largest number of times.
Problem 8 :
40, 90, 36, 68, 90, 11, 88, 54
Solution :
Let us arrange the numbers in ascending order.
11, 36, 40, 54, 68, 88, 90, 90
= (11 + 36 + 40 + 54 + 68 + 88 + 90 + 90)/8
= 477/8
Mean x = 59.62
The number of values = 8
Which is even,
= ((8/2)th term) + ((8/2 + 1)th term))/2
= 1/2 (4th term + (4 + 1)th term)
= 1/2 (4th term + 5th term)
= 1/2 (54 + 68)
= 1/2 (122)
Median = 61
Mode = 90
So, 90 is repeating the largest number of times.
Problem 9 :
12, 46, 32, 18, 26, 41, 46
Solution :
Let us arrange the numbers in ascending order.
12, 18, 26, 32, 41, 46, 46
= (12 + 18 + 26 + 32 + 41 + 46 + 46)/7
= 221/7
Mean x = 31.6
The number of values = 7
Which is odd,
Median = ((7 + 1)/2)th term
= ((8/2)th) term
= (4th term)
Median = 32
Mode = 46
So, 46 is repeating the largest number of times.
Problem 10 :
63, 40, 51, 70, 36, 21, 51, 28, 19
Solution :
Let us arrange the numbers in ascending order.
19, 21, 28, 36, 40, 51 , 51, 63, 70
= (19 + 21 + 28 + 36 + 40 + 51 + 51 + 63 + 70)/9
= 379/9
Mean x = 42.11
The number of values = 9
Which is odd,
= ((9 + 1)/2)th term
= ((10/2)th) term
= (5th term)
Median = 40
Mode = 51
So, 51 is repeating the largest number of times.
Subscribe to our ▶️ YouTube channel 🔴 for the latest videos, updates, and tips.
Kindly mail your feedback to v4formath@gmail.com
We always appreciate your feedback.
About Us | Contact Us | Privacy Policy
©All rights reserved. onlinemath4all.com

May 10, 26 05:50 PM
Apr 24, 26 09:30 PM
Apr 24, 26 09:05 PM