Subscribe to our ▶️ YouTube channel 🔴 for the latest videos, updates, and tips.
Magic Square :
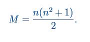
Magic square is a square of order n is an arrangement of n2 numbers, such that the sum of all n numbers in each row, column and diagonal is same. The constant for each row, column and diagonal is called as magic constant 'M' and expressed as

Mass :
Mass of an object is the fundamental property of the object. It is measure of amount of matter in the object.
Median :
Median is the middle value of the given (arranged in either ascending or descending order) numbers.
Mean is same as average. It is calculated by adding all the given series of numbers and divide the sum by the number of the given numbers.
Example :
Find the mean of 2, 3, 5, 6, 5, 7, 7
Mean = (2+3+5+6+5+7+7)/7
= 35/7
= 5
Mode :
Mode is nothing but most repeated value in the given number pattern.
Example :
Find the mode of
2, 3, 3, 3, 6, 7, 7, 2, 9
Here the most repeated value is 3. So we can decide 3 is the mode of the pattern.
Midpoint :
The point that exactly in the middle of the number pattern.
Example :
Find the midpoint of
2, 4, 13, 10, 0, 6, 8, 1, 9
In the above pattern the middle value is 0. So the midpoint is 0.
Midpoint of the Line Segment :
The point which lies exactly middle is called midpoint.
Midpoint = (x1+x2)/2, (y1+y2)/2
Mixture Problems :
Mixture Problems or Allegation is the area where we can know the ratio in which we have to mix two type of ingredients to produce the mixture in a specified price. This is one of the important topics of SAT Preparation, aptitude skills, competitive exams .
Major Sector :
The major region between an arc and two radii joining the center to the end points of the circle is called a major sector.

Minor Sector :
The minor region between an arc and two radii joining the center to the end points of the circle is called a minor sector.

Multiplication :
Multiplication is nothing but adding the same number over and over. This is also called repeated addition. This would be very useful for kids. Without memorizing this table we cannot do any multiplications problems.
Monomial :
An algebraic expression which is having single term is called the monomial.
Example :
3x, 2y, 2a
Monotonicity :
Determine the intervals of x for which the curve is decreasing or decreasing using the first derivative test is called monotonicity
Magnitude of a Vector :
The modulus or magnitude of a vector a vector is a positive number in which is a measure of its length and is denoted by |a vector| = |AB vector| = AB.
Subscribe to our ▶️ YouTube channel 🔴 for the latest videos, updates, and tips.
Kindly mail your feedback to v4formath@gmail.com
We always appreciate your feedback.
About Us | Contact Us | Privacy Policy
©All rights reserved. onlinemath4all.com

May 21, 26 01:17 AM
May 17, 26 09:03 AM
Apr 24, 26 09:30 PM